1Facultad de Medicina, Universidad de Los Andes.
2División de Bioestadística, Escuela de Salud Pública, Universidad de Chile.
Modelo de riesgos proporcionales
Con el objetivo de poder identifi car los potenciales factores
de riesgo, se ilustra la metodología de los riesgos proporcionales,
que se puede formular como sigue:
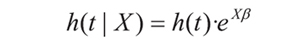
Si se considera que cada individuo tiene un particular perfil o conjunto de variables explicativas que son independientes del tiempo y se denotan por el vector X=(X1,X2,...,Xp), así la función de riesgo condicional es proporcional a la función de riesgo no condicionada:
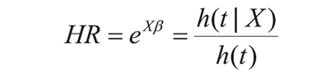
se llama función de razón de riesgos (Hazard Risk) a la expresión:
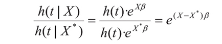
La función HR permite comparar dos sujetos con perfi les distintos, en efecto, si se consideran los perfi les X y X*, se tiene que:

Expresión que representa la razón de riesgos del perfi l X sobre el perfi l X*. Se deduce de inmediato que:
, representa la razón de riesgos si los perfi les contienen
componentes indicatrices y representa el cambio de la razón
de riesgos por unidad de componente si ésta es una variable
continua.
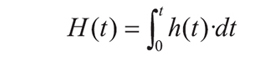
También es posible plantear el modelo de riesgos proporcionales a partir de la función de riesgo acumulado, H(t), que se defi ne como:

En efecto, al integrar la ecuación:

el modelo puede plantearse como sigue:

Y de la relación

Se deduce:
![]()
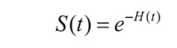
de donde se concluye que la función de razón de riesgos se puede escribir en términos de la función de sobrevida y de las funciones de sobrevida condicionales como:

La estimación máximo-verosímil de los parámetros del modelo se hace maximizando la función de verosimilitud:

En general, no es posible encontrar las estimaciones de los parámetros algebraicamente y se debe usar el método de Newton-Raphson.
La teoría asintótica asegura que para n sufi cientemente grande los parámetros estandarizados siguen una distribución normal de media cero y varianza 1:

Lo que permite realizar test de hipótesis sobre el HR asociado a variables de naturaleza categórica o numérica.