1Facultad de Medicina, Universidad de los Andes.
2División de Bioestadstica, Escuela de Salud Pública, Universidad de Chile.
La sensibilidad es la probabilidad de tener un examen positivo cuando el sujeto está verdaderamente enfermo, es decir P(+|Enfermo) = S; la especificidad es la probabilidad de tener un examen negativo cuando el sujeto está verdaderamente sano, es decir, P(–|Sano) = E y la prevalencia es la probabilidad de estar enfermo, P(Enfermo) = p. Con estas definiciones obtenemos la definición de Likelihood Ratio positivo (LR+), como la siguiente razón de probabilidades:

Numerador y denominador contienen la probabilidad de igual evento, ser sujeto positivo, pero en poblaciones distintas: Enfermos y Sanos.
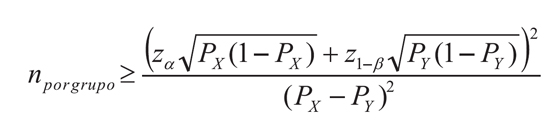
Por lo tanto en una primera instancia, para una significación α y potencia 1-β, bastará con calcular una tamaño de muestra para detectar la diferencia de proporciones: PX y PY, donde PX=S y PY=1-E, este problema se resuelve con la clásica fórmula:
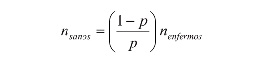
Una vez obtenido este “n” lo entendemos como la cantidad mínima de sujetos enfermos que se deben conseguir, es decir “nenfermos”. Ahora consideramos la prevalencia “p” de la enfermedad y escribimos la siguiente “regla de tres”:
De donde se obtiene el número de sanos mínimos a reclutar, que es:
Obviamente el número total de sujetos a reclutar es

Por ejemplo: ¿Cuántos sujetos deben reclutarse para testear una prueba diagnóstica que se postula con 90% de sensibilidad, 80% de especificidad y la prevalencia de la enfermedad es de 10%, con significación del 5% y potencia del 80%?
1. Tamaño de muestra para detectar la diferencia entre S y 1-E, es decir entre 0,9 y 0,2: Solución en STATA versión 12.0
Estimated sample size for two-sample comparison of proportions
Test Ho: p1 = p2, where p1 is the proportion in population 1
and p2 is the proportion in population 2
Assumptions:
alpha = 0,0500 (two-sided)
power = 0,8000
p1 = 0,9000
p2 = 0,2000
n2/n1 = 1,00
Estimated required sample sizes:
n1 = 10
n2 = 10
Es necesario reclutar por lo menos 10 enfermos.
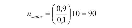
2. Como la prevalencia es de 10%, el número de sanos es:
3. Por lo tanto es necesario muestrear 10 + 90 = 100 sujetos para satisfacer el requerimiento.
El cómo muestrear estos sujetos es un problema metodológico que se abordará en el futuro.